HOME ARTICLES JOIN GALLERY STORE SPONSORS MARKETPLACE CONTACT US  
Register | FAQ | Search | Memberlist
Username:    Password:       Forgot your password?
BIKELAND > FORUMS > ZX-14.com > Thread: ZX14 vs Busa vs 12r head flow... NEW TOPIC NEW POLL POST REPLY
Y2KZX12R


Needs a job
CompetitionCNC.com
Posts: 3762
posted October 26, 2007 11:11 AM        Edited By: Y2KZX12R on 26 Oct 2007 12:12
ZX14 vs Busa vs 12r head flow...

I just got done testing the stock zx14 head, heres the data.....

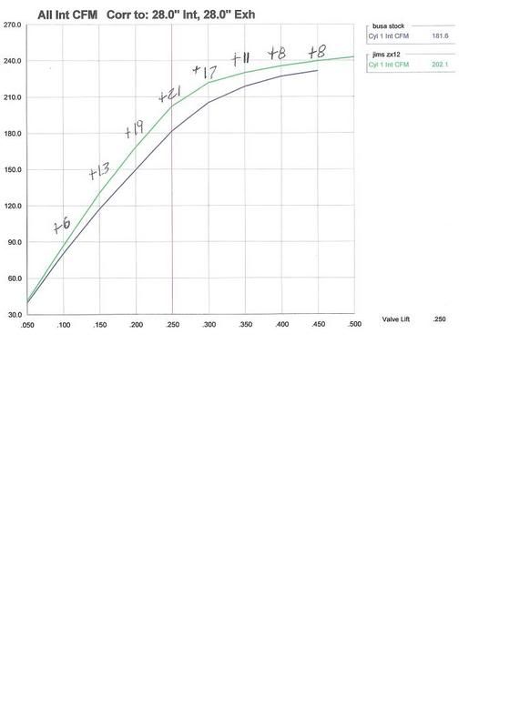
Heres the flow chart for the stock zx14 head vs a stock Busa head.



And heres a stock zx14 vs stock zx12 head.



And last a CompetitionCNC cnc ported busa vs a zx14 head.




____________
Y2KZX12R
CompetitionCNC.com

  Ignore this member    Click here to visit Y2KZX12R's homepage. 
BrooklynNYZX12


Zone Head
Posts: 520
posted October 26, 2007 11:28 AM        
Am I reading that correctly?The 12 head out flows the 14 head?The busa head out flows the 12 & 14.What are the valve lift #'s for the bikes?The after #'s were really impressive,quite a pick up.Did you notice a huge difference between the inner runners and outer runners?
____________
Orient Express Top Street Bike Winner 8-4-07

  Ignore this member   
warbird


Needs a job
Posts: 2739
posted October 26, 2007 11:29 AM        
Talk to me Jim. Looks like the 12 head really outflows the 14 head stock to stock.........but what about velocity? Could it be the 14 doesn't need the volume because of velocity? ( As comes setup from the factory? )
____________
I'd Rather Be Roadracing.

  Ignore this member   
stevewfl


Moderator
Posts: 27920
posted October 26, 2007 11:44 AM        
the 14 bashers over in the ZX12 forum would love to see this thread !
____________
2010 Concours14
'08 R1 YAMAHA
ZX14 gone!
CBR600RR track bike

  Ignore this member   
warbird


Needs a job
Posts: 2739
posted October 26, 2007 11:52 AM        
It just means different setup's for different results. Not that one is better than the other. One may work for a certain application, one for another result all together............
____________
I'd Rather Be Roadracing.

  Ignore this member   
ninja12


Needs a job
Posts: 3310
posted October 26, 2007 12:11 PM        
i see major changes in the zx14 at .250 and .300.
Jim can you explain why the zx14 drops so badly at these points?

  Ignore this member   
nightmare


Pro
ACP Racing
Posts: 1797
posted October 26, 2007 12:18 PM        
I just got dumber!
____________
2006 ZX14 Ninja "SWINE FLU"
60ft 1.23
8th Mile 5.16
ACP Racing

  Ignore this member    Click here to visit nightmare's homepage. 
kawasaki_rick


Zone Head
Posts: 512
posted October 26, 2007 01:18 PM        
Damn that means a 14 is a bad-ass even though its running a junk head.
  Ignore this member   
smokinzx14


Needs a life
Posts: 10197
posted October 26, 2007 01:57 PM        
Ok guys don't get all bent out of shape over the flow numbers .. Port size and flow numbers don't tell the hole story.. Port velocity plays a big roll in HP and TQ numbers...It's clear that the head flows pleanty of the correct air or the motor would not make the HP and TQ that we all know it makes .. Bigger numbers mean nothing ...Case in point 500 inch Mopar motor ( stroked 440 ) with a head flowing 320 CFM will make 750 hp with ease ... While a Big block Chevy at 500 inches will need a flow number in the 400 Cfm to make the same HP ... Why ?? Rod angles, rod ratio , bore and stroke are different between the two motors ...A busa or a zx12 need different flow numbers and port size to get the job done ... ..If you went off just flow numbers listed above than the old busa motor would be making alot more hp than a zx14 ...Well we all know that it doesn't make more HP...

A little port work like smoothing up the runners and a little blow clean up would pick up some flow numbers ...But i would not do much more than that.....
Smokin..
____________
Smokin Performance Cycles..
Tampa Bay , FL .. Brocks Performance Dealer ..
Gen 2 ZX14R Best ET 8.43 , Best MPH 164.95

  Ignore this member   
RICH CRAFT 1


Zone Head
Posts: 681
posted October 26, 2007 03:31 PM        
#1cyl is the bad port on the 14.#2&3 or like the 12 this test is not fair
____________
Red 06 ZX14 RR

  Ignore this member   
Nukedog


Expert Class
Posts: 449
posted October 26, 2007 03:44 PM        
quote:
Talk to me Jim. Looks like the 12 head really outflows the 14 head stock to stock.........but what about velocity? Could it be the 14 doesn't need the volume because of velocity? ( As comes setup from the factory? )


That is old news. Why do you think the 12R makes such good MPH? Aggressive cams and excellent flow.

The 14 doesn't flow as much but it creates better velocity by design and that is how it makes the excellent MPH.


____________
02 Busa...Turbo...
09 YZF-R6S...


  Ignore this member   
warbird


Needs a job
Posts: 2739
posted October 26, 2007 04:17 PM        
quote:
quote:
Talk to me Jim. Looks like the 12 head really outflows the 14 head stock to stock.........but what about velocity? Could it be the 14 doesn't need the volume because of velocity? ( As comes setup from the factory? )


That is old news. Why do you think the 12R makes such good MPH? Aggressive cams and excellent flow.

The 14 doesn't flow as much but it creates better velocity by design and that is how it makes the excellent MPH.





In other words I hit the nail on the head..................

.
____________
I'd Rather Be Roadracing.

  Ignore this member   
fish_antlers


Administrator
The Truth is Out There
Posts: 21894
posted October 26, 2007 04:37 PM        
quote:
the 14 bashers over in the ZX12 forum would love to see this thread !


I bet they would, since they all know that Y2K provided the groundwork for the ZX-12R at Bikeland 7 years ago!!

very cool stuff!!
____________
What business is it of yours where I'm from, Friendo?


  Ignore this member    Click here to visit fish_antlers's homepage. 
Stage XXX Mr Turbo ZX14


Expert Class
Posts: 157
posted October 26, 2007 04:38 PM        
There is nothing like some good head !!

XXX
____________
Worlds Fastest ZX14 - - - 230.157 mph Texas Mile 10/07

  Ignore this member   
stevewfl


Moderator
Posts: 27920
posted October 26, 2007 07:04 PM        
quote:
There is nothing like some good head !!

XXX


+1 good head "flow" at that!
____________
2010 Concours14
'08 R1 YAMAHA
ZX14 gone!
CBR600RR track bike

  Ignore this member   
dubious


Needs a life
Needs more time to ride!
Posts: 8442
posted October 26, 2007 07:47 PM        Edited By: dubious on 26 Oct 2007 20:50
Yup the zx14 head sucks arse, especially the exhaust side!

Port velocity means shit when you have a huffer bolted on ....
Its all high velocity then!

Hog da bitch out!, err gimme some good head first, then hog her out!

weee weee onk onk.!

LOL

Who does good turbo'd head work?
1st priority is my head, crank, rods and pistons...
____________
natural selection.....
destiny will overcome intervention.
Some are not worthy of the effort.

  Ignore this member   
dubious


Needs a life
Needs more time to ride!
Posts: 8442
posted October 26, 2007 07:52 PM        
Sorry to hijack the thread.
Thanks for the info.... the exhaust side really does suck, err blow, errr neither... its all plugged up.

The scavenger reversion brows at the exhaust outlet port floor are massive for sure though.
Noticed that at least , a long time ago.... never had my head off yet.
____________
natural selection.....
destiny will overcome intervention.
Some are not worthy of the effort.

  Ignore this member   
CrotchRocket


Moderator
Bracket Racing with Betsy
Posts: 8038
posted October 26, 2007 09:28 PM        
Jim, what year zx14 head did you test???

____________
Jason Miller StreetBike Seminars

*****DragRacers do it better, because they dont cut Corners*****

  Ignore this member    Click here to visit CrotchRocket's homepage. 
ZXLNT


Needs a job
Kawpuke Extraordinare
Posts: 2853
posted October 26, 2007 11:11 PM        
Pretty sure it was 06/07 version.
  Ignore this member   
serius blk


Zone Head
Posts: 543
posted October 27, 2007 04:37 AM        
Its a 06 head off my other 14 motor

  Ignore this member   
Y2KZX12R


Needs a job
CompetitionCNC.com
Posts: 3762
posted October 27, 2007 06:01 AM        Edited By: Y2KZX12R on 27 Oct 2007 07:05
First let me say it was an 06/07 zx14 head and that its true that raw, dry, steady state, flow numbers like these don't tell the whole story. However, the latest internet trend towards totally discounting flow bench numbers as "useless" is a mistake, they are just as important as they ever were. People are just realizing that there's other factors at work also in a head design such as wave propagation... here's what pressure waves look like as they traverses the entire head of this particular engine. (Not busa)




However it is true that 20 years ago people just looked at flow bench numbers and went just by that.
A flow bench is a tool like a micrometer, it gives you information and it's up to you to determine what that information is telling you and what it means. Flow in CFM is just one of several things a flow bench can tell you about what's going on in a head. Some of the others are a black art that few totally understand.

Anyway, once I digitize the zx14 port I can then figure out several things such as the cross sectional area at each point down the intake port and determine the velocity at that slice of the port.
The cross sectional area is small mid divider. This could have been done to boost midrange torque. But the most interesting difference in the three intake ports is the short side radius on the zx14. I don't have any pics right now but it's got a ski-jump instead of a nice radius. It's very intentional but why? Its clear they wanted to detach the airflow on the short side, but why?
It could be to smooth throttle response at lower rpms, or it could be to induce tumble into the cylinder? It could be a way to boost VE or reduce emissions for the latest standards?

I'll have more info on the zx14 head and progress in a month or so. This head is going to take a little time to "figure out".

"The major changes at .250"..." that's the point where window area exceeds throat area and the valve lift starts to give diminishing returns. It's something that happens on all heads but depends on the ratio of valve size and throat. Something that the engineers don't just pull out of there butt. However it may not be optimized for peak power.
But that ratio as well as several other ratios and design parameters are a compromise for several factors that "we" don't care about from our perspective. If we can remove a few of the design goals that aren't conducive to making power but the factory had to include in their design requirements then that frees us up to make changes to enhance our specific requirements, as in, making more top end power.

The Exhaust port on the zx14 is not good. I have a question for any of you zx14 owners; look at the inside of the stock exhaust pipe at the head flange. Is it a round tube like any other header? Or is there an insert or some type of "D" shape to the inlet of the pipe?

So here are a few more charts.... 12r vs. busa. And we all know which one made more power at 10,500 rpm.



And here's a stock cross section of a busa port just to look at.




____________
Y2KZX12R
CompetitionCNC.com

  Ignore this member    Click here to visit Y2KZX12R's homepage. 
warbird


Needs a job
Posts: 2739
posted October 27, 2007 07:08 AM        
Thanks for the great reading Jim. Always interesting and I have learned a lot from your "projects" over the years. ( Even if I get flamed for asking questions that some "already" know ) Was going through some garage stuff and found a heat blanket you sent me back in 2000...............still in the priority mail envelope with the instruction sheet, drawing and 2 strips of heat tape to fasten it to the frame. I never did much with that 2nd 12R..........it's still in the garage with the other one, only 1100 miles on her..............
____________
I'd Rather Be Roadracing.

  Ignore this member   
Ojref


Expert Class
Posts: 336
posted October 27, 2007 07:26 AM        Edited By: Ojref on 27 Oct 2007 08:26
The stock ZX-14 pipe flanges are round as are the Brocks/Hindle upgrade and a few of the other aftermarket pipes I've seen.
____________
2006 Kawasaki ZX-14 Ninja, Red now with mo' Brock's in my lyfe
1991 Yamaha Vmax - Because I need a mule to carry the manhood
2002 Ford Lightning - Ford GT Aluminum block engined, 802HP 911TQ now WhippleCharged

  Ignore this member   
Y2KZX12R


Needs a job
CompetitionCNC.com
Posts: 3762
posted October 27, 2007 11:08 AM        Edited By: Y2KZX12R on 27 Oct 2007 12:12
quote:
The stock ZX-14 pipe flanges are round as are the Brocks/Hindle upgrade and a few of the other aftermarket pipes I've seen.


Thanks

Warbird, asking questions is good even if someone else allready knows the answer, theres always someone else who doesnt know either.

Heat blankets... that brings back memories. I still get emails once in a while from guys looking for one. I havent made any in years now and just tell them how to make one.

I have 2 spares I kept for myself but i still have the original one i put on the bike 2000.
____________
Y2KZX12R
CompetitionCNC.com

  Ignore this member    Click here to visit Y2KZX12R's homepage. 
jw


Novice Class
Posts: 81
posted October 27, 2007 01:40 PM        Edited By: jw on 27 Oct 2007 14:41
quote:
The Exhaust port on the zx14 is not good. I have a question for any of you zx14 owners; look at the inside of the stock exhaust pipe at the head flange. Is it a round tube like any other header? Or is there an insert or some type of "D" shape to the inlet of the pipe?


D shaped is better. I've seen flow suffer a lot taking material off the floor of an exhaust port. It's not just the flow out of the head but the transition out into the exhaust as well.

The other thing is typically japanese bikes have been OVER-exhuasted for years. It will be interesting to see if higher exhaust flow translates to more power or just another pretty (flow) number.

  Ignore this member   
All times are America/Va [ This thread is 3 pages long: 1  2  3     Next» ] < Previous Thread     Next Thread >
BIKELAND > FORUMS > ZX-14.com > Thread: ZX14 vs Busa vs 12r head flow... NEW TOPIC NEW POLL POST REPLY

FEATURED NEWS   Bikeland News RSS Feed

HEADLINES   Bikeland News RSS Feed


Copyright 2000-2026 Bikeland Media
Please refer to our terms of service for further information
0.3113489151001 seconds processing time